分享到
手机号
验证码
文章详情
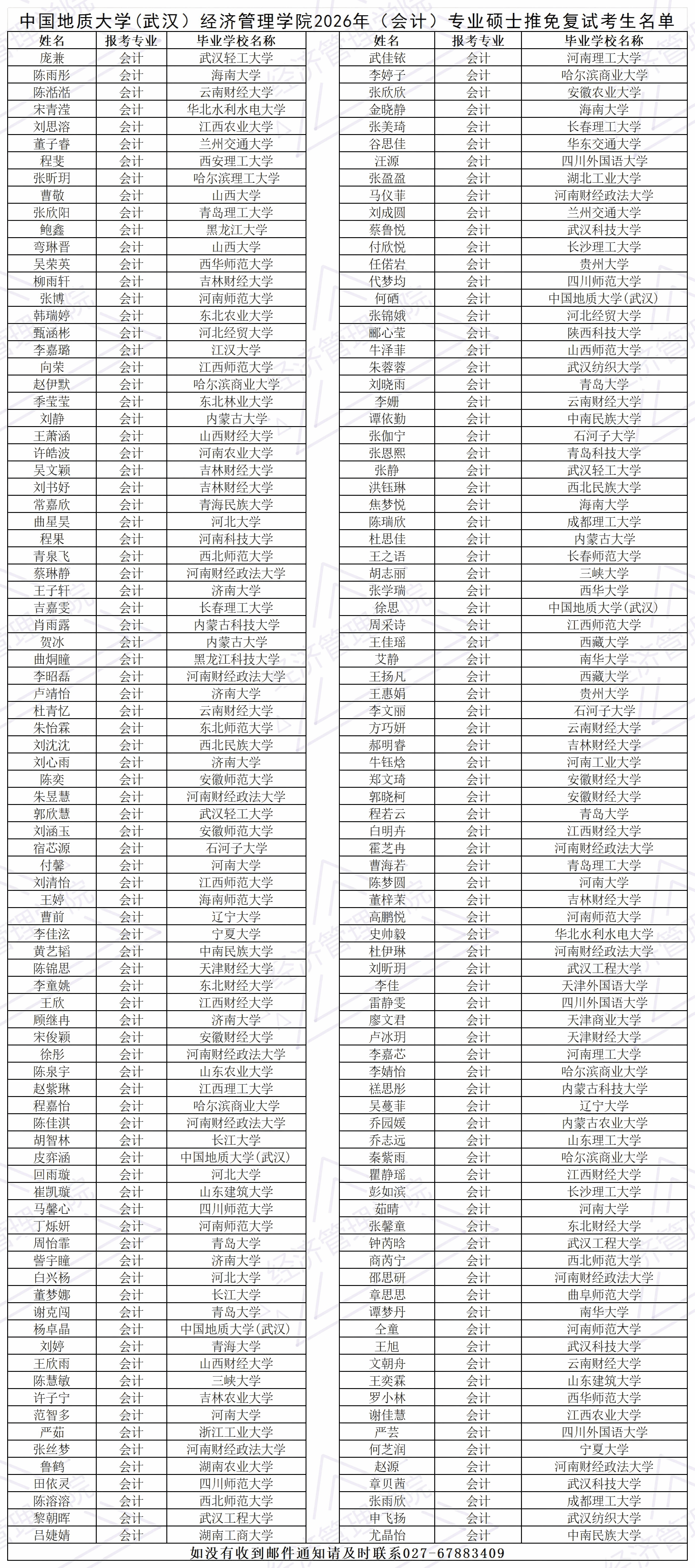
中国地质大学(武汉)经济管理学院2026年(会计)专业硕士推免复试考生名单
原文链接:https://jgxy.cug.edu.cn/info/1133/14914.htm
2025年华中科技大学管理学院2025年“全国优秀大学生 暑期夏令营”(会计硕士)招募启事
(会计专硕)中国地质大学(武汉)经济管理学院 2025年第十一届研招校园开放日活动方案(MPAcc全日制)
江西财经大学会计学院举办 “2025年全国优秀大学生夏令营”的通知
同济大学经济与管理学院2025年优秀学生暑期学校活动通知(专业学位 会计硕士)
2025年北京大学光华管理学院金融、会计(专业学位)夏令营通知
中南财经政法大学会计学院(会硕中心)2022年推荐免试攻读硕士研究生拟录取名单公告
江西财经大学会计学院2020年同等学力招生简章
湖北经济学院2022年会计硕士接收推荐免试研究生复试工作实施细则
西南财经大学会计学院 “2022年全国优秀大学生夏令营”入营名单及活动日程
西南财经大学会计学院 “2021年全国优秀大学生夏令营”入营名单及活动日程
咨询
下载app
来电