分享到
手机号
验证码
文章详情
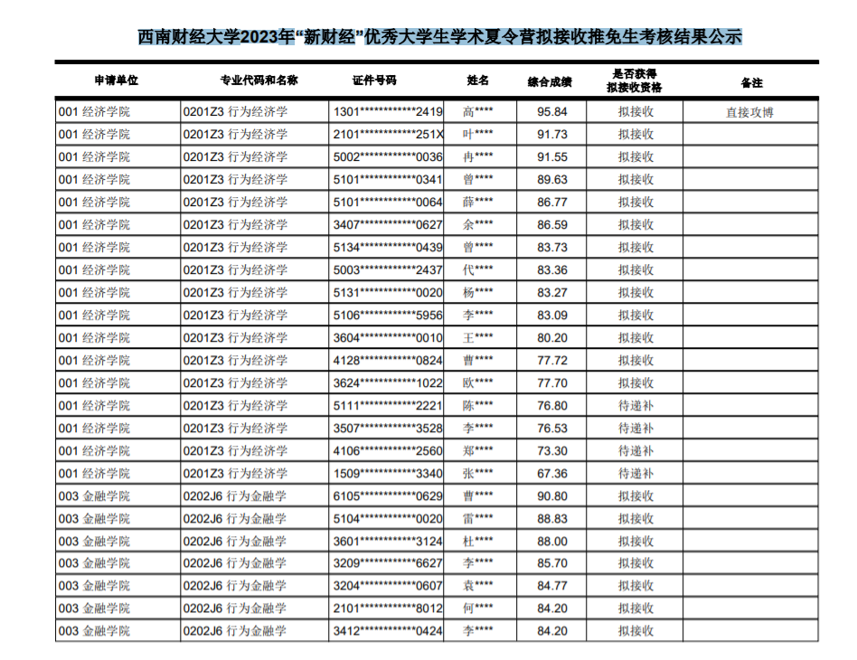
西南财经大学中国行为经济与行为金融研究中心2023年“新财经”优秀大学生学术夏令营拟接收推免生考核结果公示
天津财经大学经济学院2026届本科毕业生免试推荐攻读硕士学位研究生工作实施细则
广东财经大学推荐优秀应届本科毕业生 免试攻读硕士研究生工作管理办法(试行)
山东财经大学中国国际低碳学院2026年接收推荐免试攻读硕士学位研究生的通知
山东财经大学中国国际低碳学院2026年推免预报名复试合格考生名单
山东财经大学艺术学院关于2026年面向全国接收优秀应届本科毕业生免试攻读硕士学位工作的通知
江西财经大学2021届本科毕业生免试攻读硕士研究生名单公示
关于新疆财经大学2023年接收推荐免试攻读硕士学位研究生的通知
江西财经大学2023届“推免研究生”公告
安徽财经大学2022年拟获得免试推荐为硕士研究生资格名单公示
东北财经大学2022年推免生资格选拔结果公示
咨询
下载app
来电